

产品简介
偏振纠缠光源产品是基于Sagnac干涉仪中的自发参量下转换过程制备的高品质量子光源。该产品可以为量子信息技术领域的科学研究与实验教学提供高质量的量子光源。
产品特点
▪ 高度集成化设计
▪ 晶体温度控制精度高达1mK
▪ 具备纠缠光子和标记光子双模工作模式
▪ 单模光纤输出
▪ 高亮度,无需暗室操作
产品应用
▪ 量子通信
▪ 量子模拟与计算
▪ 量子精密测量
▪ 量子成像

图1. 高质量偏振纠缠光源结构示意图
高质量偏振纠缠光源产品支持任意波长定制,可以产生简并和非简并量子光源,可以产生连续或者脉冲的量子光源。
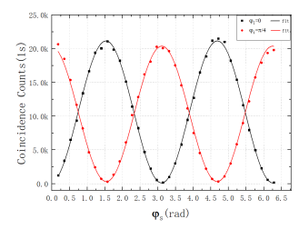
典型的偏振纠缠光源(405->810nm标准产品)的干涉曲线如图2所示。图中黑色曲线和红色曲线分别为正交基矢下和+/-45°基矢下的拟合结果。

图2.高质量偏振纠缠光源的干涉曲线

图3.高质量偏振纠缠光源产品实物外观图
产品参数

备注:支持任意波长定制,可以产生简并和非简并量子光源,可以产生连续或者脉冲的量子光源。
暂无
如有意向购买产品或者相关技术咨询,请联系我们